Στα 937 τα νέα κρούσματα κορονοιού , 62 νεκροί και 495 οι διασωληνωμένοι – Η γεωγραφική κατανομή

Ο ΕΟΔΥ σήμερα Τετάρτη 23.12.2020, ανακοινώνει 937 νέα κρούσματα κορονοιού , 62 οι νεκροί και 495 συμπολίτες μας δίνουν μάχη για την ζωή τους στην εντατικές. 

Ακόμα 937 κρούσματα του κορονοϊού στη χώρα μας ανακοίνωσε την Τετάρτη ο ΕΟΔΥ. Από αυτά τα πέντε εντοπίστηκαν κατόπιν ελέγχων στις πύλες εισόδου της χώρας.

Ο συνολικός αριθμός των κρουσμάτων είναι 133.365, εκ των οποίων το 52,4% άνδρες. Τα 5.267 (3,9%) θεωρούνται σχετιζόμενα με ταξίδι από το εξωτερικό και τα 39.198 (29,4%) είναι σχετιζόμενα με ήδη γνωστό κρούσμα. Αυτή τη στιγμή 495 συμπολίτες μας νοσηλεύονται διασωληνωμένοι. Η διάμεση ηλικία τους είναι 67 ετών. Οι 160 (32,3%) είναι γυναίκες και οι υπόλοιποι άνδρες. To 78,6% των διασωληνωμένων έχει υποκείμενο νόσημα ή είναι ηλικιωμένοι 70 ετών και άνω. Μέχρι σήμερα 832 ασθενείς έχουν εξέλθει από τις ΜΕΘ. Τέλος, έχουμε ακόμα 62 καταγεγραμμένους θανάτους και 4.402 θανάτους συνολικά στη χώρα. Οι 1.776 (40,3%) ήταν γυναίκες και οι υπόλοιποι άνδρες. Η διάμεση ηλικία των θανόντων συμπολιτών μας ήταν τα 79 έτη και το 95,5% είχε κάποιο υποκείμενο νόσημα ή και ηλικία 70 ετών και άνω.

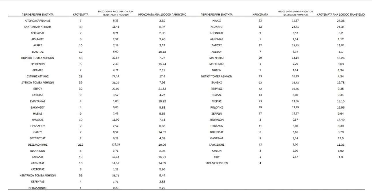
Η γεωγραφική κατανομή

 

Τα στοιχεία που παρουσιάζονται αφορούν περιστατικά από την επιδημιολογική επιτήρηση της νόσου από το νέο κορωνοϊό (COVID19), με βάση τα δεδομένα που έχουν δηλωθεί στον ΕΟΔΥ και καταγραφεί μέχρι τις 23 Δεκεμβρίου 2020 (ώρα 15:00).

Τα νέα εργαστηριακά επιβεβαιωμένα κρούσματα της νόσου είναι 937, εκ των οποίων 5 εντοπίστηκαν κατόπιν ελέγχων στις πύλες εισόδου της χώρας. Ο συνολικός αριθμός των κρουσμάτων ανέρχεται σε 133365 (ημερήσια μεταβολή +0.7%), εκ των οποίων 52.4% άνδρες.

Οι νέοι θάνατοι ασθενών με COVID-19 είναι 62, ενώ από την έναρξη της επιδημίας έχουν καταγραφεί συνολικά 4402 θάνατοι.Η διάμεση ηλικία των ασθενών που απεβίωσαν είναι 79 έτη. Ο αριθμός των ασθενών που νοσηλεύονται διασωληνωμένοι είναι 495 (67.7% άνδρες). To Rt για την επικράτεια εκτιμάται σε 0.67 (95%Crl: 0.13-1.62).

Η ημερήσια κατανομή των επιβεβαιωμένων κρουσμάτων είναι η ακόλουθη (η γραμμή παριστάνει την συνολική, αθροιστική κατανομή των κρουσμάτων).

Δείτε κάνοντας κλικ εδώ την αναλυτική ενημέρωση του ΕΟΔΥ

Η διάμεση ηλικία των κρουσμάτων είναι 44 έτη (εύρος 0.2 έως 104 ετών), ενώ η διάμεση ηλικία των θανάτων είναι 79 έτη (εύρος 25 έως 103 ετών). Η ηλικιακή κατανομή των (α) συνολικών κρουσμάτων, (β) των περιστατικών που κατέληξαν σε θάνατο και (γ) των ασθενών που νοσηλεύονται διασωληνωμένοι, είναι η ακόλουθη:

 

 

madata.gr